科研动态
当前位置: 首页 科学研究 科研动态 正文
    27 2024.03
生态服务功能监测与评估团队在The Innovation Geoscience 发表研究论文
日期:2024.03.27 点击:

 

近日,公司生态服务功能监测与评估团队在综合期刊The Innovation Geoscience发表题为“Positive asymmetric responses indicate larger carbon sink with increase in precipitation variability in global terrestrial ecosystems”,的研究论文((https://www.the-innovation.org/data/article/geoscience/preview/pdf/XINNGEOSCIENCE-2023-0072.pdf)。该论文的第一作者为戴黎聪副教授,通讯作者为胡中民教授,伟德BV1946官网为第一通讯作者单位。

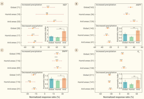
全球变暖改变了全球降水模式并导致降水变异增加,这种趋势预计在未来几十年将持续。在未来降水变异增加的背景下,全球陆地生态系统碳汇是否会发生改变仍不清楚。基于此,本研究通过整合分析,同时结合TRENDY模型和遥感数据,量化了陆地生态系统碳汇对降水变异的响应。研究发现在相同降水变化情况下,生态系统碳汇对降水改变呈现正的非对称性响应,即降水增加处理下生态系统碳汇的增加幅度(33.4%)大于降水减少处理下生态系统碳汇的减少幅度(-24.62%),且在干旱地区(年降水< 500 mm)的正非对称性响应大于湿润地区(年降水> 500 mm)(图1)。

 

1 标准降水改变下生态系统碳汇、ANPPBNPPRs的变化(40%降水改变)******表示分别在0.050.010.001水平上差异显著,ns表示没有显著水平。

ANPP:地上净初级生产力, BNPP: 地下净初级生产力,Rs: 土壤呼吸,NEP: 生态系统碳汇

研究还发现土壤含水量是导致生态系统碳汇对降水改变非对称响应的关键因素。在干旱地区,在降水增加处理下,土壤含水量增加了30.86%,而在降水减少处理下,土壤含水量减少了-20.21%,土壤含水量对降水改变表现为正的非对称性响应。这与上文提到的生态系统碳汇的响应模式一致(1A)。但干旱区和湿润区生态系统碳汇非对称响应的调控机制不同(2)。在干旱地区,生态系统碳汇的正非对称响应主要来自植被生产力的正非对称性响应(2A);而湿润地区生态系统碳汇的正非对称性主要来自于土壤呼吸过程中负非对称性响应,即降水处理下土壤呼吸减少量高于降水增加处理的增加量(2B)

 

2 干旱区(A)和湿润区(B)碳收支对降水改变的非对称响应机制,IP:降水增加,DP:降水减少,SWC:土壤含水量。

ANPP:地上净初级生产力,BNPP:地下净初级生产力,Rs土壤呼吸,NEP: 生态系统碳汇,绿色向上的箭头表示增加的量,红色向下的箭头表示减少的量。

 

在全球范围内,模型可以捕捉到生态系统碳汇对降水改变的正非对称性响应,但对全球的生态系统呼吸和湿润地区的生产力模拟效果较差(3A)。对生态系统呼吸模拟的效果较差主要是由于模拟的生态系统呼吸高估了湿润年份的增加量,而低估了干旱年份的减少量(3B)。此外,模型对湿润地区生产力模拟的是正非对称响应,这与观测结果相反,这主要是由于模型高估了湿润地区生产力的正非对称性(3C)。陆面模型在模拟湿润地区的生态系统呼吸和生产力的不确定性主要与其在模拟土壤含水量方面表现不佳有关,即模型高估了湿润年份的土壤含水量的增加量,而低估了干旱年份土壤含水量的减少量。

 

3降水增加和降水减少处理下沿降水梯度变化的模型结果和观测值比较,阴影区域为95%的置信区间。NIP: 标准化降水增加,NDP:标准化降水减少。

 

 

本研究得到了国家自然科学基金((U23A2002)、第二次青藏高原科学考察与研究计划(2019QZKK0405)等项目的支持。The Innovation GeoscienceThe Innovation旗下的新子刊,对标国际顶尖期刊